Kết quả trúng đấu giá 36 lô đất thuộc khu đất LK1, LK2, dự án chỉnh trang đô thị tại khu vực ngõ 47 Lê Lai và ngõ 92 Lê Thánh Tông, phường Ngô Quyền, TP Hải Phòng tháng 3/2026 Ngày đăng : 11/03/2026 | 321 lượt xem Sáng ngày 11/03/2026, Công ty Đấu giá hợp danh HP. Auserco tổ chức đấu giá quyền sử dụng 36 lô đất thuộc Khu đất LK1, LK2 thuộc Dự án chỉnh trang đô thị tại khu vực ngõ 47 Lê Lai và ngõ 92 Lê Thánh Tông, Phường Ngô Quyền, Thành Phố Hải Phòng.
Kết quả trúng đấu giá 22 thửa đất tại Dự án đầu tư xây dựng tuyến đường Đông Khê 2 - giai đoạn 1, phường Gia Viên, TP Hải Phòng tháng 3 năm 2026 Ngày đăng : 10/03/2026 | 366 lượt xem Sáng ngày 10/03/2026, Trung tâm Dịch vụ đấu giá tài sản thành phố Hải Phòng tổ chức đấu giá quyền sử dụng đất ở 22 thửa đất tại Dự án đầu tư xây dựng tuyến đường Đông Khê 2 - giai đoạn 1, phường Gia Viên, thành phố Hải Phòng.
Thông báo đấu giá 25 lô đất trên địa bàn xã Kiến Thụy, TP Hải Phòng tháng 3 năm 2026 Ngày đăng : 07/03/2026 | 96 lượt xem Trung tâm Dịch vụ đấu giá tài sản thành phố Hải Phòng ( thuộc Sở Tư Pháp TP Hải Phòng) tổ chức đấu giá quyền sử dụng đất gồm 25 lô đất trên địa bàn xã Kiến Thụy, TP Hải Phòng
Thông báo đấu giá 22 thửa đất tại Dự án đầu tư xây dựng tuyến đường Đông Khê 2 - giai đoạn 1, phường Gia Viên, TP Hải Phòng tháng 3 năm 2026 Ngày đăng : 02/03/2026 | 221 lượt xem Trung tâm Dịch vụ đấu giá tài sản thành phố Hải Phòng ban hành Quy chế cuộc đấu giá quyền sử dụng đất ở 22 lô thửa đất tại Dự án đầu tư xây dựng tuyến đường Đông Khê 2 - giai đoạn 1, phường Gia Viên, thành phố Hải Phòng
Thông báo đấu giá 36 lô đất thuộc khu đất LK1, LK2, dự án chỉnh trang đô thị tại khu vực ngõ 47 Lê Lai và ngõ 92 Lê Thánh Tông, phường Ngô Quyền, TP Hải Phòng tháng 3/2026 Ngày đăng : 27/02/2026 | 188 lượt xem Công ty Đấu giá hợp danh HP. Auserco ban hành Quy chế đấu giá quyền sử dụng 37 lô đất thuộc Khu đất LK1, LK2 thuộc Dự án chỉnh trang đô thị tại khu vực ngõ 47 Lê Lai và ngõ 92 Lê Thánh Tông, Phường Ngô Quyền, Thành Phố Hải Phòng
Kết quả trúng đấu giá 15 thửa đất tại Dự án đầu tư xây dựng tuyến đường Đông Khê 2 - giai đoạn 1, phường Gia Viên, TP.Hải Phòng tháng 2 năm 2026 Ngày đăng : 09/02/2026 | 406 lượt xem Sáng ngày 09/02/2026, Trung tâm Dịch vụ đấu giá tài sản thành phố Hải Phòng phối hợp cùng Phòng Kinh tế, Hạ tầng và Đô thị phường Gia Viên tổ chức đấu giá quyền sử dụng đất 15 thửa đất tại Dự án đầu tư xây dựng tuyến đường Đông Khê 2 - giai đoạn 1, phường Gia Viên, thành phố Hải Phòng.
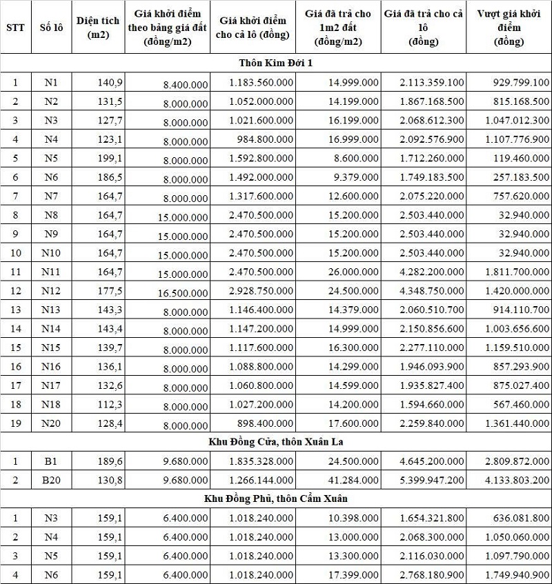
Kết quả trúng đấu giá 11 lô đất tại thôn 4+7, xã Thủy Triều, huyện Thủy Nguyên (nay là TDP 3 và TDP 7, phường Hoà Bình), thành phố Hải Phòng tháng 2 năm 2026 Ngày đăng : 05/02/2026 | 290 lượt xem Sáng ngày 05/02/2026, Trung tâm Dịch vụ đấu giá tài sản thành phố Hải Phòng phối hợp với Phòng Kinh tế Hạ tầng và Đô thị phường Hòa Bình tổ chức đấu giá quyền sử dụng đất gồm 11 lô đất ở diện tích 1.438,7m2 tại khu đấu giá có đầu tư xây dựng hạ tầng kỹ thuật tại phân khu LK6, LK7, LK9, L.K10 khu đấu giá thôn 4+7, xã Thủy Triều, huyện Thủy Nguyên (nay là Tổ dân phố 3 và Tổ dân phố 7, phường Hoà Bình), thành phố Hải Phòng.
Thông báo đấu giá 15 thửa đất tại Dự án đầu tư xây dựng tuyến đường Đông Khê 2 - giai đoạn 1, phường Gia Viên, TP.Hải Phòng tháng 2 năm 2026 Ngày đăng : 03/02/2026 | 275 lượt xem Trung tâm Dịch vụ đấu giá tài sản thành phố Hải Phòng phối hợp cùng Phòng Kinh tế, Hạ tầng và Đô thị phường Gia Viên tổ chức đấu giá quyền sử dụng đất 15 thửa đất tại Dự án đầu tư xây dựng tuyến đường Đông Khê 2 - giai đoạn 1, phường Gia Viên, thành phố Hải Phòng.